新闻中心 /
抗IgLON5抗体相关脑病到底是什么疾病?
发布时间:2018-06-01
导读
2017版《中国自身免疫性脑炎诊治专家共识》提到一种新的疾病——抗IgLON5抗体相关脑病,该病在国际上已发现十几例,而欧蒙医学检验实验室自2017年7月开展以来已发现多例该抗体阳性。关于抗IgLON5抗体相关脑病的临床及诊治要点,小编带您一起回顾一下。
临床特点
常见老年患者,中位数在60岁左右。
慢性病程,少数亚急性发展。
以睡眠障碍和运动障碍为主要表现,出现行走不稳、共济失调、构音障碍、吞咽障碍、中枢性低通气、舞蹈样动作、口面部不自主运动等。
(来源:中华医学会神经病学分会, 中华神经科杂志2017年2月第50卷第2期)
同步视频多导睡眠图(V-PSG)
可见阻塞性睡眠呼吸暂停、喘鸣、快速眼动期睡眠(rapid eye movement sleep,REMS)行为障碍,也可见非快速眼动期睡眠(non-rapid eye movement sleep,NREMS)和REMS均出现的异常运动、睡眠结构异常。
主要表现为N2期简单的和复杂的发声运动,REMS插入N2期,表现为简单的肢体运动且肌紧张异常增加,但N3期睡眠正常,常伴随喘鸣。
(来源:Lidia Sabater et al. , Lancet Neurol. 2014 June ; 13(6): 575–586.蔡梦婷等,中华神经科杂志2017年8月第50卷第8期)
神经影像学与常规脑脊液检查
脑MRI、EEG、CSF、EMG无特殊发现。
实验室检查:抗IgLON5抗体
在血清和脑脊液样本中均可检测到抗IgLON5抗体阳性。
IgLON5高表达于小脑,是一种功能未知的神经细胞粘附蛋白。
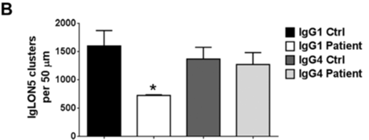
IgLON5抗体主要由IgG4、IgG1及IgG2三种IgG亚型构成,平均比例分别为64.6%、33%以及2.2%。
IgLON5 IgG1抗体亚型能促使表面的IgLON5蛋白不可逆的下调。


Fig1. IgLON5 IgG1, but not IgG4 antibodies,
cause a reduction of surface IgLON5 clusters
(来源:Sabater et al. Journal of Neuroinflammation (2016) 13:226)
实验室检查:基因检测
HLA-DRB1*1001和(或)HLA-DQB1*0501异常。
神经病理学检查
神经元丢失与tau蛋白沉积,以脑干被盖与下丘脑受累明显。

Fig2. Tau蛋白沉积
(来源:Ellen Gelpi et al. , Acta Neuropathol (2016) 132:531–543)
治疗与预后
多数对免疫治疗效果不佳,少数病例有效。
常常会发生自主神经功能异常和急性呼吸困难,需要接收气管切口术和重症监护,可以发生猝死。
鉴别诊断
抗CASPR2抗体相关脑炎 本病可同时影响中枢和周围神经,主要变现为肌肉抽搐和肌束震颤、神经肌肉强直、睡眠障碍、伴随幻觉的波动性脑病等。其中睡眠障碍主要是失眠和快速眼动期睡 眠行为异常(REMS behavior disorder, RBD),也可发生伴随RBD出现的激动性失眠(agrypnia excitata)。
抗Ma2抗体相关脑炎 睡眠障碍常为本病的主要症状。因累及下丘脑与边缘系统,导致睡眠环路破坏而表现为发作性睡病、RBD和睡眠结构紊乱等症状,可伴随记忆力下降与精神症状。Ma2抗体是典型的神经元抗体,常伴发生殖系统肿瘤与肺癌。
抗NMDAR抗体脑炎 典型症状有面、口、舌部肌张力障碍、舞蹈样动作等运动障碍和睡眠障碍。睡眠障碍突出表现为疾病晚期出现的中枢性低通气。
Tau蛋白病 尸检发现部分患者下丘脑和脑干被盖区存在过度磷酸化的tau蛋白,需要排除诊断tau蛋白病。
阻塞性睡眠呼吸暂停(OSA) 喘鸣可能被夜间的鼾声所干扰,抗IgLON5相关脑病除了OSA表现外,还可能会有不正常的睡眠动作和行为等其他临床表现,血清和脑脊液中可检测到抗IgLON5抗体。
其他 睡眠行为障碍、激动性失眠等。
(来源:Lidia Sabater et al. , Lancet Neurol. 2014 June ; 13(6): 575–586. 蔡梦婷等,中华神经科杂志2017年8月第50卷第8期)
诊断线索
临床表现主要为睡眠障碍、运动障碍、眼球麻痹。
吞咽障碍可能是抗IgLON5抗体相关脑病的早期信号。
视频多导睡眠监测(V-PSG)对诊断有一定提示。
血清、脑脊液抗IgLON5抗体阳性为明确诊断依据。
基因检测:HLA-DRB1*1001和(或)HLA-DQB1*0501异常。
(来源:Jens Burchard Schröder et al. , Neuroinflamm 2017;4:e302)

